Contents
What is witting reaction?
Triphenyl phosphonium alkylide (simply phosphorous ylide) is called witting reagent. When carbonyl compound (aldehyde or ketone) is treated with an ylide, olefin (alkene) is formed. This reaction is called witting reaction.
Mechanism of witting reaction
Question- Answer from witting reaction
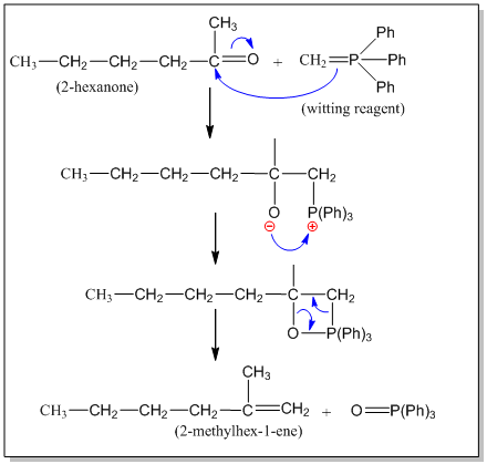
Q) Give the reaction and mechanism when 2-hexanone is treated with witting reagent.
When 2-hexanone is treated with witting reagent, 2-methylhex-1-ene is formed. This reaction is called witting reaction. The reaction involved and mechanism is given below.
Mechanism:
Q) Give two different methods for witting synthesis of 2-methyl-1-hexene.
2-methyl-1-hexene can be prepared using witting synthesis by following two methods:
Method-I :
Method-II :
Q) Write product and mechanism of the reaction:
This reaction is witting reaction. The reaction involved and mechanism is given below:
Mechanism:
References
- Morrison, R.T. , Boyd, R.N., Organic Chemistry, Sixth edition, Prentice-Hall of India Pvt. Ltd., 2008.
- March, j., Advanced Organic Chemistry, Fourth edition, Wiley Eastern Ltd. India, 2005.
- https://chemicalnote.com/category/organic-chemistry/name-reactions/
